梁乃崇:交易原理
梁乃崇:交易原理
时间:2004年1月11日
地点:崇友人文讲堂
主持:陈国镇教授
纪录:廖堂顺、张春美
整理:羊忆玫、梁玉明
主持人陈国镇教授:
各位女士先生,大家早!今天我们请梁教授来跟我们讲「交易原理」,我想我们每一个人都不断地与个人、团体、大自然之间做各种不同的交易,彼此间产生一些互动,形成了我们这一生中生命的活动内容。当然所交易的东西从具相到抽象的都有,也就是从比较具体的实物到心灵之间的交易都在进行,这是我们在人世间必然要做的事情。今天梁教授要从交易的基本认知来说明,相信会让我们对自己的工作、生活、修行,都有更深的认识。我们就以热烈的掌声欢迎梁教授。
主讲人梁乃崇教授:
各位先生、各位女士,大家好,今天我要讲的题目是「交易原理」,大家可能会觉得很奇怪,我为什么会讲这样的题目?我想大家听下去就会知道我要讲的重点。
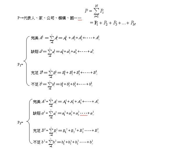
首先,「交易」一词,也可以说是「交换」、「交流」,就是指人与人、人与团体以及人与自然之间的一种互动关系。当然,通常我们讲的买卖,是属于狭义的交易;而广义的交易和狭义的交易我们今天都会谈到。
首先,我们就从各种古文明来看人类生财的方式。最早的渔猎时期,人类的财富和生活资源是向动物和渔类掠夺来的。再来是农牧时期,人类的生财方式是种田、收割,或者是豢养动物然后宰杀之。再来第三个生财方式就是靠武力,这时军队、武士这种力量出来了,就用这种力量去征服别人,然后控制别人去做奴工。第四种生财方式就是凭武力强制纳贡,譬如说每年要缴多少东西给我,后来又蜕变成税收。还有一种生财方式是,在每一个古文明里都有工匠,他们是从事制造,比如说建屋、织布、制陶器等等,这是唯一没有用抢夺,而是靠自己来做的,前面提到的四种方式或多或少都有抢的特性在里面。
◎商人以交易来生财
再来看,所有的古文明都会出现商人,他们不制造,也不抢夺,他们是用交易的方式生财。这个就显得很不一样,人家用抢或制造才有财产,而商人不抢也不制造,只是买卖,做买卖就可以生财,这是一个比较特殊的情形。刚开始的交易是「以物易物」,譬如说我种了稻米,就以我的稻米去换你的鸡和鸭,这样换来换去就是最原始的交易--「以物易物」。
后来发明了钱币,最早是用贝壳做钱币,其实不只是贝壳,很多东西都曾拿来当做钱币,一直到后来才有正式的钱币,那就不需要「以物易物」了。先用甲物换成钱币,然后再用钱币换成乙物,这样子就更容易交易了。
以上的这些情形,所有的古文明都发生过,像两河流域的巴比伦古文明,就是现在的伊拉克这一带;尼罗河一带则是埃及的古文明;另外还有在中国黄河、长江流域的古文明;以及印度的古文明,所有的这些古文明都有「以物易物」的交易情形。但是这些古文明发展到某一阶段以后,统统都遇到了瓶颈,又没有力量来突破,所以这些古文明不是没落就是停滞:巴比伦文明没落了,后来甚至就消失了;埃及的古文明也等于是消失了;中国的古文明则一直流传到现在,但它是停滞的,没什么进步,好像是到了一个高原以后就再也发展不上去了。为什么会这样?我们并不清楚。
在所有的古文明里有一个希腊古文明,它是最年轻的古文明,它有一个很特殊的地方跟其他的古文明不同。关于希腊古文明,荷马的史诗描绘得最多,在荷马的史诗中描绘那些英雄们的生活就是四处打仗,所以他们是军人,是武士,打完仗后,平常就是打猎,打完猎后就是飨宴,吃吃喝喝,喝酒找美女,他们找的美女有自己种族的,也有俘虏来的,甚至跟天上的神仙也有相互交往,所以他们这一方面的生活是很富足的。这些内容在希腊神话里描绘相当的多,希腊古文明留下来的希腊神话是很生动的,与其他古文明留下来的神话故事不太一样,他们很有人情味,也不很正经,有很多感情欲望的问题都呈现在神话故事里。
希腊文化还有一个特别的地方,就是他们有哲学家,这些哲学家在当时就很出名,有很重要的地位,不像我们有很多伟人在当时都是没没无闻,直到死后才出名。像柏拉图、苏格拉底、亚里斯多德等人,他们在当时就是很重要的人士,提倡理性逻辑的思想,追求真理。他们还提倡奥林匹克运动,到现在我们都还在发扬奥运的精神。
希腊古文明也留下了很多建筑艺术,那些建筑艺术里都表现了力与美,这是很辉煌的。希腊古文明后来被他边陲的、较落后野蛮的马其顿王国亚历山大大帝统一了,亚历山大的军队后来打到欧亚,更统一了欧亚两洲。所以像现在的印度,有一半都被他统治过,他的武力是很强盛的。
◎西方商业文明来自古希腊
以上我们提到很多古希腊文明的内容,没有提到商人,只是提到比较辉煌的一面,而且有很多东西一直延续到现在我们都还在用。但是希腊古文明后来演化出现代西方商业文明,也就是现在所谓的资本主义这样的商业文明,这个商业文明主导了我们现在的世界。而这个商业文明就是从希腊的古文明演化过来的,其他的古文明就没有这个性质,没有发展出希腊这样的情况,所以即使留下来也是停滞的,突破不了当时的瓶颈。
我们再来看一看,在希腊古文明中未被注意到的商业革命是怎么发生的?这一点是其他古文明所没有的。这个东西在古希腊虽然有,可是在当时并没有人注意,也可以说那时的人并没有太注意它的存在,所以留下来的历史记载并不多。现在有人把这些东西找出来,内容并没像荷马史诗或苏格拉底这些名人留下来的那么丰富,可供考证的资料并不多,但是我们知道这个东西确实是有的。所以这个有关商业的东西是希腊古文明里一个最大的特色,只是现在才稍微被注意到。
当时希腊周围还有一些其他欧洲的民族,他们并不属于希腊人,但是他们都很喜欢希腊的文化,譬如大约在公元前两千年前有吕底亚人,他们就住在希腊旁边,跟希腊人也常有交往,他们用的都是欧系的语言,住的地方就是现在土耳其境内,这些都是公元前两千年前发生的事情。吕底亚人在公元前700年前就建立了吕底亚王国,当时这些王国都是小小的,并不像我们现在的国家那么大,吕底亚的京城在沙谛斯,是一个城市国家,可能就像是现在的新加坡。当时的国家大部分都是城市国家,所以希腊也不是一个统一的国家,像雅典也只是一个城邦国家。所以吕底亚算是一个小国,在公元前640到630年当中,吕底亚国王很聪明的创造了硬币,硬币大小就像我们大拇指第一节那么大,是椭圆形的,把国王的徽章盖在上面,压得扁扁的而且标准化,一个硬币的价值就相当于一个农夫或工人工作一星期的收入,单位都已经标准化了。硬币本身是一种金和银的合金,他们称它为琥珀金。中国除外,在希腊或在欧洲系统的文化里,这个硬币算是世界上第一个硬币。
◎吕底亚的硬币最好用
在这之前,我们知道的代用硬币有贝壳、黄豆、咖啡豆等等各种东西都被拿来当钱币使用过,但是这些代用的钱币都不好用,拿碎银子碎金块当做货币也不好用,用起来都很困难,又不方便。所以还是吕底亚硬币最好用,因为它已经标准化了,一个一个大小一定,成分一定,还有国王的徽章盖在上面,保证不会偷工减料。这样的货币出来了,是谁做的呢?就是吕底亚国王做的。
有人告诉我,中国在更早大约商朝的时候就有钱币出来了,比吕底亚硬币至少早了几百年,但是我对于这一段历史持保留的态度,我不清楚这样的考证到底正不正确,要留给历史学家去弄清楚。至于吕底亚这个国家,不但创造了硬币,而且还标准化了,同时在推广使用。接着更重要的是吕底亚创造了零售市场,这个零售市场的出现是很了不得的,在这之前并没有所谓的市场,而他们创造了市场。他们在京城的几条街上开设一间间的商店,专门做买卖,而且做买卖时就使用硬币做交易,这样的商店街后来就变成城市,这也是吕底亚人弄出来的。
市场出现以后,又有钱币做交易,交易就变得很迅速。以前要交易则是很困难的,譬如说每次交易如果拿到的是贝壳或碎银子,看个半天,秤重量也要秤半天,到底是真的还是假的都不知道。现在则不用那么麻烦,只要算一个、两个还是三个钱币就好了,这个交易就很顺利,速度也变快了。零售市场出来以后,交易就更加的方便,也促使商业发达。有些人就自然而然地变成了商人,变成商店的老板,一个个的商店陆续成立,零售市场就这样建立起来了。
商人、老板他们工作以后就赚了很多钱,他们工作很辛苦,就要放松一下,所以在零售市场的古迹中又挖掘出赌博用的骰子,据说最早的骰子也是他们发明的。这里还有人类最早的妓女馆,所谓的娼馆也是他们发明的,当时做妓女并不是什么丢脸的事情,他们的妇女在还没结婚之前就会去从事娼馆妓女的工作,当时他们认为这是很体面的工作。从事这种妓女的工作可以赚到很多钱,赚很多钱就有了财富,就可以用这个财富来挑选老公。
我们再看下去,吕底亚这个国家在公元前560年到546年间出现了一位国王叫克罗撒斯,因为他的祖先给他留下了零售市场以及钱币,同时这个国家也生产一种产品,大家可能想象不到,那就是香水,也就是我们现在所说的化妆品。他们生产了这个商品,同时又有市场,所以这个国家就变成当时希腊这些国家里最富有的,别的国家都比不上。吕底亚于是累积了很多的财富,他们的国王就用这些钱去雇佣兵,建立了武力,也就是用钱建立了军队,于是把希腊大部分的城邦统一了。
所以这个国家很特别,它的财富是得自贸易,并不是像其他的国家取自征服而来,但是这个国王还是有野心的,他统一希腊了以后,就想用武力把旁边的波斯打下来,所以他就到希腊神殿太阳神那里去问卦,问太阳神的意见,太阳神告诉他说:「如果这样做,会有一个国家被灭亡。」克罗撒斯以为是波斯会灭亡,所以就带着军队去攻打波斯。当时波斯的国王叫居鲁士大帝,没想到克罗撒斯国王反而被波斯打败,他也被俘虏了,这个国家也就被灭掉了。所以在希腊、英国或者在土耳其的谚语里,有「富敌克罗撒斯」这一句话,表示非常富有的意思。
◎亚历山大继承了武力和商业
吕底亚虽然被灭掉了,也只是政府和武力被灭掉,它的商业活动则是继续留下来,而且继续的扩展到其他地方去。但是这个商业文明在当时并没有人特别注意到,大家所注意的只是武力,后来这个商业文明就在地中海周围发展起来,之后有一位希腊的帝王叫亚历山大大帝,继承了当时的武力和商业,我们现在读亚历山大大帝历史,看到的多半也只是武力,并没有看到它的商业,事实上当时商业的力量一直跟随着武力传播到各个地方。譬如现在埃及和开罗附近挖掘出古代亚历山大港口的遗址,也就是亚历山大当时把埃及征服以后就在那里建立了港口,为什么要建立港口?就是要做生意。他们的武力和做生意一直都是结合在一起的。
亚历山大之后又有罗马帝国,其实罗马帝国也同样继承了武力和商业的力量,罗马帝国的那些皇帝都在制造钱币。最早的硬币,银是占百分之九十五,其他金属占百分之五,重量大小都一定。因为钱币用久了都会缺角、会磨损,所以后来罗马皇帝就先把旧钱币磨损,磨损下来的东西再去制造新的钱币。他们甚至把银的含量降低,譬如说降低到70%,最后降低到只有5%,他们就是靠这个在赚钱,也等于是印钞票来赚钱。罗马帝国就是靠陆地的武力和商业发展壮大的。
罗马帝国之后,西罗马帝国先被灭掉,留下了东罗马帝国,从西罗马帝国开始到灭掉,那时义大利有一个城邦叫威尼斯,在文艺复兴时代也建立了他们海上的武力,当然也有他们的商业,所以就变成一个很有力量的城邦国家。威尼斯城邦帝国航海的范围在地中海一带,因为当时的航海技术还不够好;后来航海技术提升了以后,船就能远航到大西洋,并不限于在地中海了,这时又有新的帝国出来,像西班牙、葡萄牙就是,西班牙后来把南美的印地安文化毁灭了。
以上说明了希腊的古文明怎么演化到现代,后来演变成资本主义的过程,接着因资本主义的兴起又有殖民帝国主义的形成——一百年前的大英帝国、法国及德国等,这些国家都在世界各地建立他们的殖民地,就在这个时候他们也到达中国,英国就跟中国打了一仗——鸦片战争,鸦片战争之后,中国就把香港割让给英国,现在香港又被中国收回,代表这件事情告一段落。
当时中国遇到像英国这些殖民帝国主义者,中国搞不懂他们到底是干什么的?其实他们跑到中国来,并不是想要把你的国家灭掉,只是要跟你做生意而已。所以他们要求通商口岸,要求把广州、宁波这些地方开阜,让他们的船可以进来买卖东西。可是当时中国朝廷就是搞不懂他们要这些干什么?也不明白割让像香港这么一个小岛有什么用?所以从这个地方来看,事实上就是中国重农业的文明跟一个重商业的文明在接触、在冲突、在对撞,这样的接触,互相间是不了解的。
◎从反商、轻商到重商
在整个过程里我们可以看到,有所谓反商、轻商到重商的演变。亚里斯多德写了很多文章,文章里有很多规定,限制商人什么可以做,什么不能做,还要抽商人的税;严格来讲他的想法跟中国古代很多大师、学问家差不多,也是轻商的。中国的阶级制度里,商为四民之末,无商不奸,商人是没有地位的。现在已经走到资本主义时代了,马克斯这位哲学家、思想家,他不但轻商而且是反商的,他认为商人是剥削阶级,劳工才是真正在生产的人,商人什么事也没做,就把钱给拐走了。于是他提出了「共产主义」,要把商人彻底消灭。在马克斯之后,希特勒杀了六百万犹太人,他要这么做,在当时一定要得到德国人的支持、认同,他才可能这样做。德国人为什么支持他这样做呢?主要是犹太人大部分经商,他们在欧洲是很有钱的,让德国人看了实在很不顺眼,认为他们既是剥削者又那么有钱,好处都被犹太人占尽了,所以德国人基本上对犹太人是厌恶的。这种厌恶感跟厌恶商人是相关的,所以我认为希特勒杀了六百万犹太人,其实远因就是一种反商情结,以上所提到的不是轻商就是反商。
再来看台湾的经济奇迹,台湾这几十年创造了经济奇迹,这个奇迹之所以创造出来,并成为亚洲四小龙之一,是因为重商的结果!
中国大陆二十多年前,当邓小平开始掌权以后,就开始改革开放,什么叫做改革开放?讲穿了就是重商。他们原来是共产主义,完全的反商,你若是商人就惨了,会被扫地出门的。比如说,你开一个公司或工厂,到后来你的员工就把你赶出去;然后那些员工就变成公司或工厂的老板了。为什么呢?因为以前实行共产主义、人民公社,基本上就是反商的。邓小平曾经被打为「走资派」,所谓的「走资派」就是走资本主义路线的这一派,后来邓小平掌权了以后,就开始改革开放,摆明了就是重商嘛!重商之后中国大陆的经济力量就出来了,所以只要重商就会兴盛。
我特别举中国大陆「义乌奇迹」这个例子。义乌是一个很小的地方,在浙江省山区的一个县城,现在可能有铁路了,以前连铁路都没有,而且也不靠海边,当然也没有海运了。这么一个交通不方便的地方,现在是中国大陆,乃至于全世界小商品的集散地。在台湾有十元店,十块钱你就可以买一样东西,那些东西都是从这里来的。这里的土地价格比台北市的土地还要贵,这里的人现在都很有钱,义乌确实是一个奇迹!因为最近有我认识的人到那边去,了解了以后告诉我,所以我才晓得是怎么回事。原因是这样的:刚改革开放时,就有一种人出来了,这种人其实就是商人,跑单帮的商人,他们给这种人一个不坏也不好的称呼,叫做「倒爷」,「倒」是坏的;「爷」好像又有一点尊敬。共产主义的社会里,因为改革开放,所以这种人就可以出来活动了,但是并没有他们合法的活动空间,他们等于是游走法律边缘,但是他们很赚钱啊!就在改革开放初期,义乌地区的领导就做了一个决定,划出一条街来,合法地准许那些倒爷到这里来做生意,这就是建立了「零售市场」,让零售市场合法了。于是全中国的倒爷统统挤到这里来了,要买东西的人跑到这边来了,想要卖东西的人也跑到这边来了。义乌就变成商业集散地,这边的人就富有了,跟它相关的人也都富有了,这个就是重商的结果。
现在有一个问题:为什么一重商就会富有?在改革开放之前,反商就一穷二白,改革开放一重商就富有了,相较于二十多年前实在差太远了。从这些历史上的事情来看,无论是反商还是重商的一方,统统都不明白,为何会产生财富?只晓得这样做就会发财了,知其然而不知所以然。这种情况不是重商的资本主义国家里的人就懂,他们也不懂;反商、轻商文化的人当然更不懂。古代的人不懂,现代的人还是不懂,只晓得这样做,国家的经济就会好、就会繁荣,但是为什么会这样?不知道!
接下来我们看鸦片战争这件事情,重农与重商两个文明相遇的时候,中国人的反应是船不够坚、炮不够利,想要强盛的话,必须要船坚炮利,所以只看到了表面。后来甲午战争北洋舰队被日本的小规模舰队打垮了以后,又觉得这样也不行,必须要「中学为体,西学为用」,然后要科学救国,所以在五四运动时,就提倡「德先生、赛先生」,赛先生就是科学,希望科学要发达。我会选择读物理,就是受到这个影响,想要科学救国。后来又发觉这样也不行,政治上要先改革,就有「戊戌政变」,康有为、梁启超的百日维新,眼看改也改不动就草草结束了。后来又有孙中山先生倡导的革命,把满清政府推翻,建立国民政府。从这样看下来,国父孙中山先生提出了「三民主义」,为中华民国的发展规划出蓝图,确实是很天才的。这个中间多复杂啊!他能够想出这样的东西,其实是不容易的。我知道他讲的这一套还不够彻底、不够深入,还不到可以实行的水准,所以也产生不了太大的力量。
显而易见的,中国就分成了两个力量:一个是留在大陆的、反商的共产主义,最后实行文化大革命,大搞特搞反商的政治活动。另一个就是中华民国,来到台湾发展经济,创造了经济奇迹。由于三民主义是不排斥资本主义的,所以有机会实行重商的文化;政治和经济制度都采用了重商的方法,所以就产生了经济奇迹。共产主义根本上是排斥资本主义的,导致中国大陆被文化大革命搞得天翻地覆!毛泽东过世、邓小平重新掌权以后,就实行改革开放,有了义乌奇迹,他们的生活水平、财富也就跟着增加了。
◎商人运作出间接的贡献
从整个历史的演变看来,中国这两百年来的纷扰都是商业惹的祸,西方经济学家还弄不明白的事,中国人当然不会明白。为什么我们弄不明白?重商的弄不明白、反商的也不明白,因为商人的贡献没人看到!我们只知道农人有贡献、牧人有贡献、工匠有贡献,但是我们看不见商人有什么贡献,所以会觉得商人是剥削者,他在剥削这些人的贡献。商人在做什么呢?商人就是从甲这里买了一百块钱东西,然后卖给乙二百块,他有什么贡献?他把东西从这里搬到那里就赚了一百块,而别人做得要死,才得到一百块。所以其他人的贡献,我们都看得见,就是看不出商人有何贡献。没有贡献的人怎么可以赚那么多钱?令大家心中不平。所以马克斯要反商,说他们是剥削阶级,要革他们的命;希特勒把犹太人杀掉,也是一样的心态。
我现在要替商人喊冤了,他们是有贡献的,但是他们的贡献不是我们讲的直接贡献,商人的贡献是间接的贡献。如果商人不去运作,间接的贡献就不会出来。举一个例子:譬如甲地的粮食很多,乙地的粮食不够,闹饥荒,中间如果出现个商人,他把甲地的粮食搬一些到乙地来,饥民吃了这些粮食后,把命保住了,这不就是他的贡献吗?种稻米的农人有直接贡献,但是如果商人不把粮食搬过来给你吃,你还是要饿死啊!这样搬运的贡献就是间接贡献,所以商人不是没有贡献,而是运作出间接的贡献。
再举一个例子:如果我会做云南白药,做出来之后摆在我家里,我又没生病,所以就没有用啊!如果把它运给胃出血、肺出血的病人,他们的病就给治好了,甚至把他们的命都救下来了,这个贡献不大吗?大得不得了!但这是商人给他医的吗?不是!他没有医治他,他只不过把这个药搬到有需要的人身上,只做这个动作。他有没有贡献呢?有贡献!是间接贡献。
这样的间接贡献被我们忽视掉了!当然商人也没有那么好心,因为他心里想的是赚钱,所以他也不是存有什么慈悲心,大家就没有想到要感谢他。我们一般人会想:这是做云南白药的人的贡献,没错!这个药是他做的,可是没有商人来搬运,就没有办法把你的病医好啊!所以这种搬运买卖的举动,就是商人的交易,它的间接贡献就自然产生了。
另外像是中国用丝绸跟中亚、西域一带的人交换千里马,大家都得到好处。有盐的地方没有黄金,他就可以跟没有盐但是有黄金的地方做交易,互相交换,得到的好处就是间接贡献。遗憾的是,有间接贡献相对也有间接损害,那就是毒品交易了!所以交易不一定全都是好的,也会交易出不好的现象。

◎表一



我来比较一下直接贡献与间接贡献,直接贡献是什么呢?包括创造、设计、制作……等。它的特征显而易见:产量稀少,成本高。间接贡献是怎么来的呢?是交易而来的,量极大,成本极低,但是隐而不见,所以就被我们忽视了。
直接贡献的成本与间接贡献的成本比大概是大10的4次方倍。钱币会是助长交易的间接贡献,我估计有一万倍,没有钱币的话,交易的进行是很困难的,交易的进行困难,那间接的贡献就出不来。比如说我有几只鸡,想要换一头牛,以物易物很难完成交易的,但是如果中间媒介是钱币的话,那就容易多了。钱币会方便交易的进行,同时钱币也可以储存贡献,我们的贡献有那么多种类,单是一个人,可以呈现出来的贡献已经是五花八门多得不得了,一种钱币可以储存各式各样的贡献。而且钱币不会坏,直接贡献会腐败、会坏的,所以用钱币来储存贡献,对储存者而言,贡献也不会坏了,因此钱币就助长了间接贡献,我猜它至少助长10的4次方倍。
网路的交易功能:我们现在有网路了,所以可以做电子商务、娱乐资讯、交友网站,视讯会议,远距教学等等,这些都增加了交易的平台,由于有了网路的产生,可以再增加间接贡献10的4次方倍。
但这里面有它的问题,因为我们现在又用了专利权、著作权,这些专利权、著作权是保护直接贡献,并不保护间接贡献,反倒是妨害间接贡献!以前的人搞不清楚什么是间接贡献,间接贡献根本没有被看见,所以他们当然只保护直接贡献了。现在我们知道间接贡献的影响之大,怎么可以去保护那么小的直接贡献,而去妨害对人类贡献那么大的间接贡献呢?当然就不会这么做了。
在网路里我觉得很不适当的作法就是:当学生把网路的东西下载了,或是把书拿来影印,就说这是犯法的、会被抓起来,基本上这是不对的,这样做就是阻断了间接贡献,把间接贡献破坏了。
◎知识与智慧在演讲会里进行交易
前面所讲的大部分是所谓的狭义的交易,就是产品、服务一类的交易,这是一种商业模式的交易,也就是在交易过程中用金钱做媒介的交易,这是狭义的交易。广义的交易则是只要是交换,中间没有钱做媒介都可以,那就是广义的交易。如果我们从这个角度来看的话,知识或智慧是在教室里、在演讲会里、在讨论会里、在对话当中等等进行交易,就像我们今天的演讲会一样,我们是在做知识、智慧的交易,这也是一种交易。
也可以有感情的交易,像演唱会,大家听了很高兴;看了戏剧以后,感情或情绪也被安顿了;在宴会当中,大家的感情就被纾解了;谈恋爱也一样,谈恋爱就是一男一女两个人之间感情的交易,他们的感情透过双方的交换,彼此就满足了,这也是交易的一种方式。另外还有资讯的交易,像展览会及网路上资讯的搜寻等等,这里面都没有金钱的交易,只有少部分有收钱。
我们再来看看自然界,食物链中大鱼吃小鱼,小鱼吃虾米,虾米吃泥巴,这也是一种交易。动物吃植物,动物的大便又变成植物的肥料,这也是交易,所以说自然界本身也在做交易。不做交易就不会得到间接贡献,只要透过食物链的交易,这些生物都得到了间接贡献。
那基因的交易是什么呢?像我们的生物从单性生殖演变成两性生殖,为什么要这样演变?依我现在的观察,这就是在做基因的交换,有了基因的交易,这个物种才会演化得更快更好,也就是为了得到间接贡献。这样看来,我们生物界早就在用间接贡献了,只是我们人不够聪明不晓得,不过他们虽然在用了,可能也是不了解,是知其然而不知其所以然!
我们再来看看,神灵与人类之间的交易是什么?就是宗教灵媒、祭司、特异功能等等,都是在做交易这件事情。透过这样的沟通,我们交易的范围扩展到神灵的领域了,也就是我们获得间接贡献的范围扩大到神灵,大家如果知道圣经里摩西的故事,摩西所扮演的角色就是在做上帝与犹太人之间的交易,他是中间的商人。
◎间接交易产生的贡献大到一亿乘以一亿
交易可将直接贡献放大一万倍,钱币又可将直接贡献放大一万倍,网路又将直接贡献放大一万倍,我们不要把交易限制在狭义的交易里,而要把它扩展成广义的交易,那又可把直接贡献放大一万倍,总共有四个一万倍,所以我们说交易是万岁万岁万万岁!那大家就可以知道间接交易能够产生的贡献大得不得了,等于10的16次方倍,大到一亿乘以一亿,相当的大,这么大的资源,这么大的贡献,我们可以不用吗?我们可以把它阻断吗?我们可以把它切断吗?那是万万不可以的。
任何阻断交易的行为,譬如锁国政策、孤立政策、保密规定等等,尤其像我们现在的学生,我听说成绩好的学生,自己会的都不告诉其他同学,同学来问他,他都假装不懂,这个就是保密,如果这样,那就注定使人类要没落,这样做的结果就是没落!如果我们的学生互相之间是保密的,我会的东西都不教你,不让你知道,大家如果都这样做,那么我们这边的学生将来跟另外一个社会的学生比较,那个社会的学生都是开放互相学习的,那么我们一定会输!我们也可以说中国因为重农不重商,不重视交易,所以间接贡献比较少,因此无法突破,社会文明的水准一直保持在一个平的状态,当遇到了西方的商业帝国时就输掉了,中国最近二百年的历史就是如此,因为这么多万岁万岁万万岁的好处你都把它隔断了,你把它切断了,所以注定是要没落。
西方商业文明至今之所以能够主导全世界是拜交易之赐,而不是船坚炮利,不是科学,不是政治,统统都不是,就是交易的贡献,这个谜底揭晓了,原来你想要强盛、想要进步,就必须要知道交易的重要性。
以上所讲的直接、间接贡献,你认为它是完美、充足,或是有缺陷的,是谁来认定呢?是我们的心来认定的。何者是贡献?何者是伤害?认定权在心,但是心是可以被迷惑、蛊惑的,所以商业世界的广告很盛行,就是为了要影响你的判断,把一个东西说得很好,就是要让你觉得它是好的、是有贡献的,也让你自己觉得有缺陷,让你觉得有需要。像有一个头皮屑掉在肩膀上的广告,其实这有什么关系呢?可是广告这样做了以后,就让你觉得有关系,你就会去买它的洗发精,因为心是可以被迷惑的。也因为这样,所以我们这个世界总是谣言满天飞,八卦满天飞!怎么做才不会被蛊惑呢?要用「被知的都不是」来把握自己的「真心」,才不会被蛊惑。
◎透过回向、方便及分享贡献,修行可以进步神速
接着我们就谈到今天的结论,听到以上我所讲的内容之后,我们就知道间接贡献的力量大得不得了,它可以将人间变成天堂,甚至变成佛菩萨的净土,也可以让一个凡夫修成佛,所以我们修行也要交易!那我们的交易是什么呢?就是回向、方便及分享贡献。我们在修行时,你的经验、体会或一点点的心得,如果每个人都可以把自己的一点点心得提供出来给别人参考,给别人采用,假定我们有n个人在一起修行,透过回向和方便,我们就可以得到n倍的效果,本来你只能有一点点的成绩,但是透过交易你就可以得到n倍的修行进度。所以佛教虽然说修行要三大阿僧祇劫,但是没有关系,我们只要能找到三大阿僧祇的修行人一起来修行,透过交换,我们就可以在一劫或一生就修成了,所以这个力量是大得不得了的。
事实上我们也知道有这样的力量,所以佛教里提倡回向、方便,但是因为大家不太了解,所以又会做出一些妨碍回向和交易的行为出来,譬如说要保密,我会的东西不可以教你,或者说这是本派的心法怎么可以教别人?总认为我们自己的心得怎么可以让别人知道,这样的动作一做出来就阻断了交易,间接贡献就出不来,所以我们的修行也真的要三大阿僧祇劫了。我们有「一人成道,鸡犬升天」的成语,意思是说你这个人修成道了,连同家里的鸡、狗也可以跟着上升天堂。这是为什么?因为你把修行成果交易给它们了,所以它们就可以升天。
今天交易原理就讲到这里,谢谢各位!
主持人:
我想今天大家对交易有了崭新而且广泛的认知,大家手上有发言条,如果你想要提问题的话,就可以在发言条上写你的问题。
其实梁先生今天讲的这个题目里有一个系统等于很多很多东西的相加,在我们的了解里,很多部分的东西加起来形成的整体大于部分的总和,也就是说加起来它还会创造出一些新的东西,是原来的部分所没有的,这样的一种创造力其实就扮演彼此之间的互动性,也就是说2加3有可能变成6,但它还会有创造,会多出一些东西来,所以也有可能变成8。因为宇宙里最基本的一个法则就是创造力,所以部分的相加一定还会创造出新的东西,总体就会大于部分的总和。
梁先生刚刚提到商人扮演间接贡献的角色,其实在中医里也用了这个原理,譬如大家所熟悉的四物汤有当归、熟地、川芎、生姜四味药,其中川芎和生姜就扮演如同商人间接贡献的角色,否则这几味药就到不了你身上所该去的地方,也发挥不了它结合以后的作用。大家最熟悉的一味药就是甘草,甘草就是扮演沟通者的角色,所以甘草有好几个名称,它本来的名称叫甘草,譬如我们有很多意见需要有人整合时,必须有一些协调的人,这个协调的人就是「甘草人物」;一个国家有很多部门有一些意见,谁去把它们整合起来呢?就是很资深的知名人士,所谓国之大老,所以甘草又叫「国老」。我们整个社会如果要和谐,这种人物应该多一点。其实在我们的生活里,这种交易互动产生的结合和创造,是让整个大自然产生活力最重要的一个过程,没有这个过程大自然就会分解,就会离心离德;一家人、一个公司的人不同心同德,团体就会散掉。
倒是有一个地方我跟梁先生的看法有一点不一样,就是我认为间接贡献和直接贡献其实是一个动态的平衡,并不是哪一边特别需要或者哪一边特别不需要,因为间接贡献的人多一点也许可以把很多东西整合起来,可是最重要的还是梁先生后面所讲的人心的问题,人心如果不是走向正的方向,那个间接贡献也许会变成一个破坏的力量,使得直接贡献的人不愿意再有创造,所以间接贡献的人也无力创造一些贡献。我想这整个大自然里就是阴阳平衡的关系,它是在互动中求得整个自然的发展!所以中国人有一句话「没有所谓的十恶」,十恶一善,它还是有一个善,十善也有一恶,所以在这中间大家取得平衡慢慢的成长,这个才是我们面对这个社会、面对自然,甚至面对自己该有的认识。
有时候,我们修行人很在意自己的瑕疵,有了一点瑕疵就觉得自己好像背负了很沉重的罪过,这个反而会妨碍我们自己灵性的成长,所以有时候也要能容许自己有那么一点的瑕疵,可以在瑕疵里去求得自己生命的成长。
我想今天应该有很多像我一样的人有很多问题要问,现在我们就请梁先生一一来回答。
问:请问「何其自性本自具足」,那还需要交易吗?
答:我告诉您,这不需要交易。交易的状况一定有好有坏,而且还要你的好与坏和我的好与坏不一样,才可以交易;如果您与我的好、坏是一样的,那我们两个交换什么?没有东西好交换,就不能交易。所以达到佛性与自性的地方是无分别的、是平等的,那就没有东西可交换。大家是一样的就不能交换,也就不能够产生间接贡献,所以交易原理只能用在世间。
问:如何善加利用交易的原理而不被恶的交易所误导或伤害?
答:只有一个办法,要有智慧。因为整个交易到底是好是坏决定权是在我们的心,也就是我们的能知能觉,纯粹的能知能觉才是最后的决定者,决定这个会产生善或恶的结果,决定权在我们的能知能觉!所以佛法要我们修行就是要修心,要把我们的能知能觉纯化,修到无上正等正觉,这时就不会被迷惑、蛊惑了。
问:请问人类是否可以突破不用钱币交易,而做到广义的交易?
答:没问题,当然可以!事实上我们已经在这样做了。譬如我们会跟很多朋友感情很好,常常聚在一起,做感情的交易,彼此之间是没有透过金钱的。经过这样的感情交易后,大家的情绪就安定了,所以是有作用的。
问:请问不贡献而生活的人是否要受谴责?例如时下所谓的福利政策。
答:福利政策好像没有注意到人是需要贡献的,事实上每一个人都要尽他自己一分力量给社会,不能变成寄生虫。福利政策是德国铁血宰相俾斯麦提出来的,实行到现在已经没有办法再推行下去了。
问:请问总经理和工友比较,谁的贡献大?
答:我们所知道的总经理的贡献一定会比工友大,如果工友的贡献比总经理大的话,这个工友就变成总经理了。
问:人类是否因科学而不需工作?而奈米科技的东西不会坏,是否就无法交易?
答:奈米科技不是那么单纯的事情。我们来看人类是否能因科学而不工作?那是不可能的,因为科学本身就是人要做的工作。
问:请问交易的本质为何?如何建立交易纪律?交易纪律的维持要靠什么?
答:交易的本质就是交换,也就是互通有无,非常简单,没有什么深奥的。不过关键点是大家只看到直接贡献,而没有看到间接贡献。为什么人类历史那么久以来都没有人看到?我不晓得我是不是第一个看到的,据我所了解我好像是第一个看到的。这个说法如果是真的,那就要问一件事情:难道间接贡献那么难看到吗?我这么一讲,大家马上就看见了,并不难啊!如果要靠自己独立的看见会这么难吗?其实这也是间接贡献成本很低的原因。我费了千辛万苦才弄懂的东西,你们也只不过是一瞬间就懂了,一点力气都不要花的。刚才我说间接贡献和直接贡献的成本要差一万倍,恐怕还讲少了,可能不止一万倍。也因为这个地方大家都不懂,所以就做了很多糊涂事!一旦弄懂了以后,就不会做那些糊涂事了。所以交易的本质最重要的就是互通有无,而它真正的关键性就是「间接贡献」。
问:交易原理是否即指「关系的经营」?
答:关系也是交易、互换、交流当中的一种。
问:商人有间接贡献获取利润报酬,但是据统计,制造者(也就是工厂)在大量竞争下,利润只剩下百分之四,而有品牌的通路商则赚百分之四百,这样合理吗?商人的成本极低,人数极少,获得利润变成独享,无形中制造者已经成为商人的奴隶,许多制造者大量生产,自相残杀降低售价,而商人都获得万倍利润,这是不是很不公平?应如何改良?
答:这是现在社会存在的状况,是现在的交易还不完善的部分,这个不完善的情况是可以改善的,重要的是大家要能够了解所谓交易所产生的间接贡献是什么?如果能够了解就能够改善这件事情,也就晓得这个间接贡献的重要性,那么你才能够去做这件事情,因为造成工厂的利润很薄,而商人利润很高,大部分的原因是因为人会觉得「工厂生产有直接贡献」,所以他会比较肯定自己去开工厂,所以去开工厂的人就很多了,竞争之下工厂的利润就薄了。如果现在大家看出来商人也是有贡献的,他是间接贡献,这样就会有很多人很愿意去做商人,商人的人数一多了以后,也会有竞争,竞争之下利润也会降低的。我认为目前的这个不平衡就是反应了大家不了解间接贡献,总以为商人都在吃香喝辣,一点贡献都没有,把他们看扁了,所以很多人不愿意做商人。
问:商人赚大钱,却是少数;而穷人则占大多数,所谓「不平则鸣」,这样富人是否会惹来杀身之祸?
答:没错,商人会惹来杀身之祸;而穷人之所以穷,是因为他们不肯做商人!其实并没有规定你不可以做啊,是你自己不要做的。穷人之所以不肯做商人,有的是自命清高,很多人穷还自认为自己穷得很有风格。所以富有的商人会惹来杀身之祸,是不了解商人的间接贡献所造成的;了解了以后,这个事情就没有了。这个问题提得很好,这更加显示大家真的不了解间接贡献。
问:请问著作权或专利权会妨碍间接贡献,但没有适度的保护是否会让人们不愿努力创造而轻易copy或努力抄袭呢?
答:没错,会有这个问题。我们的直接贡献是需要保护的,因为之所以有间接贡献的产生,它的基础是要有直接贡献;而且直接贡献还要不断的创新才能够交易。如果直接贡献都没有了,那么间接贡献也就没有了,这是互相关联的。所以我们不能只照顾一边,两边都要照顾,要公平对待。我们的保护措施目前网路上已经有人主动在做了,它的软体你可以自由下载,如果你只是自己用,当作homework来用的话,它也不收你的费用,也不会告你。但是如果你要把这个软体下载而在公司去做赚钱的工作,那对不起,你要付费,这样很合理啊!这样做就对了,所以如果我们懂了间接贡献与直接贡献的关系,而且间接贡献的量又是那么巨大,我们就会在社会制度上做这样的调整,这种调整我想人类自己会去想办法的。
问:请问您的愿望是帮助1000个人成道,用交易原理的话,1000个人是否太少了?
答:愿帮助1000个人成道,是我十几年前讲的,那时还不晓得交易原理;而交易原理也只不过是这三、四个月我才把它弄通的。所以没有关系,我们可以交易一下。
问:请问,修行人如何才可把善知识与别人分享,过程中避免自己还一知半解的不知而造业?
答:这个要有满多技巧的,不简单的,我们还有很多东西要学习的。
问:交易法则一定会有主体在前吗?无中生有的发明有可能是跨越时空或当下的产物吗?
答:有可能喔!譬如说我们讲摩西的例子,他得到的十戒不是跨时空的吗?他知道红海可以分开,然后他们就走过红海,那不是跨时空的事情吗?交易的力量太大了,它会做成一些我们认为不可能的事情,这种事情我们叫它为奇迹。
问:请问离相与空相如何应用到交易活动中?
答:交易时是要有对象的,就在相中做,是不离相的。但做的时候,我们都有一个能知能觉在主导,也就是我们的真心在做主,而这个真心它是离相的,是空的。所以主导权、认定权是掌握在我们纯粹的能知能觉,也就是佛法所讲的无上正等正觉的觉性这里。
问:请问,善德相传天下合,恶为相传天下乱,对吗?
答:对的,没问题,这是一幅对联。
问题就回答到这里,谢谢各位!
欢迎投稿:lianxiwo@fjdh.cn
2.佛教导航欢迎广大读者踊跃投稿,佛教导航将优先发布高质量的稿件,如果有必要,在不破坏关键事实和中心思想的前提下,佛教导航将会对原始稿件做适当润色和修饰,并主动联系作者确认修改稿后,才会正式发布。如果作者希望披露自己的联系方式和个人简单背景资料,佛教导航会尽量满足您的需求;
3.文章来源注明“佛教导航”的文章,为本站编辑组原创文章,其版权归佛教导航所有。欢迎非营利性电子刊物、网站转载,但须清楚注明来源“佛教导航”或作者“佛教导航”。



