著名刘德华抄佛经,练书法,超度亡灵
发布时间:2009年02月19日

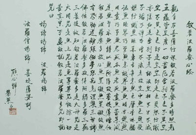
此经非常精短,全文仅260个字,却蕴含着极深的佛法真理,值得每个人反反复复阅读、背诵、抄写、回味

图:这是刘德华(法名“慧果”)为超度四川大地震死难者而抄写的《心经》
刘德华,是香港娱乐圈的四大天王之一,影视歌坛的三栖红星,众多年青人的偶像。鲜为人知的,原来他是一位虔诚的佛教徒,是台湾高僧 妙莲老和尚 座下的皈依弟子(法名“慧果”)。
进入佛门之后,刘德华遵照师父的教导,身体力行,大做慈善、布施,帮助贫苦,赢得全社会的广泛赞誉。
在繁忙的演出、公关、奔波之余,刘德华遵从师父的教诲,坚持做佛弟子们常做的“功课”:读经、念咒、念佛、抄写佛经等。
在中国、印度、日本等国家的历史上,很多人一生专门抄写《心经》、《金刚经》等经典,可以消除业障、消除病灾、强身、延寿、祈福、开聪明智慧、超度亡灵等,具有不可思议的妙用。
没有相关内容
欢迎投稿:307187592@qq.com news@fjdh.com
QQ:437786417 307187592 在线投稿
------------------------------ 权 益 申 明 -----------------------------
1.所有在佛教导航转载的第三方来源稿件,均符合国家相关法律/政策、各级佛教主管部门规定以及和谐社会公序良俗,除了注明其来源和原始作者外,佛教导航会高度重视和尊重其原始来源的知识产权和著作权诉求。但是,佛教导航不对其关键事实的真实性负责,读者如有疑问请自行核实。另外,佛教导航对其观点的正确性持有审慎和保留态度,同时欢迎读者对第三方来源稿件的观点正确性提出批评;
2.佛教导航欢迎广大读者踊跃投稿,佛教导航将优先发布高质量的稿件,如果有必要,在不破坏关键事实和中心思想的前提下,佛教导航将会对原始稿件做适当润色和修饰,并主动联系作者确认修改稿后,才会正式发布。如果作者希望披露自己的联系方式和个人简单背景资料,佛教导航会尽量满足您的需求;
3.文章来源注明“佛教导航”的文章,为本站编辑组原创文章,其版权归佛教导航所有。欢迎非营利性电子刊物、网站转载,但须清楚注明来源“佛教导航”或作者“佛教导航”。
2.佛教导航欢迎广大读者踊跃投稿,佛教导航将优先发布高质量的稿件,如果有必要,在不破坏关键事实和中心思想的前提下,佛教导航将会对原始稿件做适当润色和修饰,并主动联系作者确认修改稿后,才会正式发布。如果作者希望披露自己的联系方式和个人简单背景资料,佛教导航会尽量满足您的需求;
3.文章来源注明“佛教导航”的文章,为本站编辑组原创文章,其版权归佛教导航所有。欢迎非营利性电子刊物、网站转载,但须清楚注明来源“佛教导航”或作者“佛教导航”。



